Marxist metaphysics and an unfolding scientific revolution
Greetings patrons,
It’s time for another research update. In this letter two things:
Testing the labor theory of value with metaphysical alchemy
In my spare time, I am the editor of the Review of Capital as Power, which is a non-disciplinary journal that publishes research on, well, capital as power. Every year, the journal sponsors an essay competition, and this year we have a seminal paper that’s going to win the prize.
The backstory is that the prize-winning paper was submitted in 2023, but has been under revision for several years. (The author of the paper works at the US Bureau of Labor Statistics, which has been in chaos since the Trump regime took power. So the revisions were understandably slow.)
The prize-winning essay looks at Anwar Shaikh’s efforts to ’test’ the labor theory of value with national accounting data. If you are not familiar, Shaikh is a heterodox economist famed for his take down of the neoclassical theory of economic growth. (See my post on the topic here.) According to neoclassical theory, economic growth is explained by the Cobb-Douglas production function, which maps capital and labor inputs onto economic output. The trouble with this production function, Shaikh showed, is that it says nothing about ‘production’. Instead, it is a rearrangement of national accounting identities. As such, the function ‘works’ even when fed nonsense data that spells ‘HUMBUG’.
Now here is the irony. Shaikh is himself a fan of Karl Marx’s theory of capitalism — a theory that hinges on the notion that all value is created by labor. For decades, Shaikh has argued that the labor theory of value can be rigorously tested with national accounting data. That’s where the soon-to-be-published prize-winning paper comes in. In this essay, the author demonstrates that much like the Cobb-Douglas production function, Shaikh’s method for ’testing’ the labor of value is itself a rearrangement of national accounting identities. As such, the method ‘works’ (as in it seems to verify the labor theory of value) even when it is fed nonsense data that spells ‘HUMBUG’.
This prize-winning essay has prompted my own reflection on efforts to ’test’ the labor theory of value with what I call ‘metaphysical alchemy’. Basically, the idea is that Marxists cannot actually measure the ‘value created by labor’. Undeterred, Marxists who wish to ’test’ the labor theory of value do so by imposing their metaphysics onto what they can observe, which is monetary value.
The game, then, is to find two forms of monetary value which are correlated with each other. Marxists point to one of these forms and call it ’labor value’. Then they point to the correlation and call it a ’test of the labor theory of value’. The upshot of this bad science is that it provides an excellent way to learn about the double-entry bookkeeping behind the national accounts — bookkeeping that economists pathological misunderstand.
Looking ahead, my essay will be published in the next month or so. If you’re interested, you can read a preview version here. (Kindly don’t share this manuscript with the wider public, as it’s not quite in its final state.)
An unfolding scientific revolution
Whenever I get tired of the insanity of human politics (which is all the time now), I read about astrophysics and cosmology. What I like about this field is that it’s perhaps the most high minded of scientific pursuits; it’s driven not by the search for wealth or technological gain, but by the innate desire to understand the cosmos. Of course, human sociology does enter the equation (as always), which is why astrophysics provides a fascinating window into both the universe at large, as well as the philosophy of scientific progress.
My reading of modern astrophysics and cosmology is that the field is in the midst of a (slow-burning) scientific revolution. Let me tell you about it.
The birth of science
Astronomy is arguably the field that sparked the scientific revolution. When Nicolaus Copernicus and Galileo Galilei placed the sun at the center of the solar system, it allowed Johannes Kepler to formulate (between 1608 and 1621) a set of empirical laws that described planetary motion.
Five decades later, Isaac Newton demonstrated that Kepler’s equations were a consequence of a law of universal gravitation, in which the force of gravity falls with the inverse square of distance. Newton’s theory was a stunning revelation that unified the study of motion. According to Newton, when a ball is tossed on Earth, its motion is determined by the same equations that describe the orbit of the planets. Looking at the known solar system, astronomers found that Newton’s equations worked with exquisite precision. And so the foundations of science were put in place.
In hindsight, the stage was also set for a long-standing debate regarding the philosophy of science. When theories make predictions that are incorrect, what should be done? The problem, philosophers realized, is that predictions can fail for two reasons, which can be difficult to differentiate. First, the theory could itself be wrong. But second, the problem could lie with the evidence, which may be incomplete or flawed.
Of course, long before philosophers formalized this problem, scientists grappled with how to understand failed predictions. My impression is that scientists developed two rules of thumb. If a new theory makes bad predictions, it is (usually) discarded. But if an established theory makes bad predictions, the general response is to blame the data. Looking at the study of gravity, this blame-the-data attitude has had mixed success.
For example, by the mid 1800s, it had become clear that the planet Uranus (which was discovered in 1781) deviated from its predicted Newtonian orbit. But rather than blame Newton’s theory, scientists began searching for missing mass that would explain the error. Using Newton’s equations, Urbain Le Verrier and John Couch Adams separately predicted (in 1845) the location of an unobserved planet. When astronomers aimed their telescopes at this point in the sky, they discovered the planet Neptune. It was a triumph of predictive science.
Fresh off this success, the astronomer Urbain Le Verrier soon discovered that the planet Mercury had aberrations from a Newtonian orbit. And so again, astronomers searched for missing mass, this time in the form of the hypothetical planet ‘Vulcan’. But after decades of looking, the missing planet was never found.
In hindsight, we know that the problem with Mercury’s orbit was not the data, but the theory itself. In 1915, Albert Einstein revolutionized science with a new theory of gravity: general relativity. Crucially, Einstein’s first test of the theory was to predict the precession of Mercury’s orbit. (When Einstein initially calculated the correct solution, he was apparently so excited that for three days he could not work.)
Of course, that was just the start of a series of extraordinary predictions, which have since been confirmed. For example, Einstein’s theory predicts that sufficiently massive bodies should collapse to form black holes — bizarre objects out of which not even light can escape.
In 2019, a collaboration of radio astronomers was able to image the supermassive black hole at the center of a nearby giant elliptical galaxy. (More on giant elliptical galaxies later.) In the image shown below, the black hole is the dark central circle. Around this black object (which is thought to weigh about 3 billion times more than the sun) sits an accretion disk of hot gas, which is orbiting (and gradually falling into) the black hole at close to the speed of light.

In the same vein, Einstein’s theory predicts that when massive objects orbit at a close distance, they should radiate energy in the form of gravitational waves. Such radiation was discovered in 2015, and attributed to the orbit and merger of two black holes. Gravitational waves are now detected regularly.1 In short, Einstein’s theory of gravity has been a smashing success.
Failure in every direction
So far, I’ve told the standard story about our knowledge of gravity, which is that general relativity has been confirmed by every test ever conducted. The non-standard story is that general relativity fails almost everywhere.
Let me explain.
In the limit of weak gravity, Einstein’s theory reduces to Newton’s law of universal gravitation. (Yes, Einstein’s framing is different than Newton’s, but the predictions are the same.) This reduction is by design. Based on the evidence available in the early 20th century, Einstein surmised that Newton’s equations were the correct description of weak gravity. Today, however, there is mounting evidence that this assumption is false.
Backing up a bit, until the mid 20th century, measurements of gravitational acceleration came exclusively from observations within the solar system. The reason for this paucity of non-local data was simple — most objects outside our solar system travel so slowly that their movement in space is difficult to observe.2 However, in the early 20th century, astronomers developed a clever way around this slow-motion problem. Instead of measuring motion across the sky, astronomers realized that they could infer the motion of distant objects using the Doppler effect. If these objects travelled away from us, their light would be redshifted. (And if these objects travelled towards us, their light would be blue-shifted.)
This redshift analysis was perhaps the single most important technical development in modern astronomy. In 1929, it allowed Edwin Hubble to demonstrate that galaxies were travelling away from us with velocities proportional to their distance. The universe, it seemed, was expanding!
While this expansion was easily explained by Einstein’s theory of gravity, other observations proved more problematic. For example, in 1933, the astrophysicist Fritz Zwicky showed that within clusters, galaxies moved faster than predicted by Newtonian mechanics. But given the messiness of this astronomical data, the problem was largely ignored. Then, in the 1970s, the astronomer Vera Rubin began to rigorously study the rotation of matter within galaxies. Almost without exception, she found that given the observable mass, galaxies rotated too quickly to be explained by Newton’s equations.
Thus was born what is today the dominant paradigm in astrophysics and cosmology — the notion that the universe is permeated by ubiquitous ‘dark matter’, an unknown form of matter that is inferred to exist solely by way of its gravitational effect.3 The presumption, then, is that ‘dark matter’ is like the planet Neptune … a form of missing mass that is waiting to be discovered. (Experiments on Earth have detected no sign of this stuff.) But the lurking fear is that ‘dark matter’ may actually be a redux of the planet Vulcan — a form of missing mass which does not exist, but which is mistakenly inferred by the breakdown of Newtonian mechanics.
On cosmology … and ideology
So is the dark-matter paradigm correct? Judging by it’s popularity, the answer is yes. The dark-matter hypothesis is the reigning orthodoxy in astrophysics and cosmology. And yet popularity has always been a horrible measure of scientific validity. Science is about the weight of evidence, not the weight of public opinion. To jump to the conclusion, the evidence that Newtonian physics is wrong (in the low acceleration regime) is now far more compelling than the evidence in favor of general relativity that was collected during Einstein’s lifetime.
On this front, the history of 20th century physics is somewhat of an outlier in terms of the pace at which new theories were accepted. For example, when Einstein published his theory of general relativity in 1915, he lived to see it become the new orthodoxy. Of course, we now know that general relativity is supported by mountains of evidence (in the high acceleration regime). Yet when newspapers first heralded Einstein’s ‘revolution in science’, the supporting evidence was fairly minimal.4
In short, while the correctness of a new theory hinges on the weight of evidence, the rate of adoption of a new theory is driven in large part by human sociology. For example, evidence in favor of the heliocentric model of the solar system mounted for centuries (if not millennia), and yet the geocentric view remained the standard orthodoxy. Why?
In part, it’s because our senses mislead us. To the naked eye, it looks like the heavens travel around the Earth.5 Only careful observation shows otherwise. But perhaps more importantly, geocentric cosmology became an entrenched ideology. In Europe, the Catholic church declared geocentrism as a god-given truth, hence any challenge to this dogma was an affront to clergical authority. As such, the acceptance of the heliocentric model required the gradual spread of secularism, and the declining influence of the church. This transformation took time.
Here, it’s worth noting that Newtonian physics kick started science, but did not upend cosmology. What I mean is that following Newton, scientists mostly got busy studying practical problems. Questions about the origin of the universe were deemed essentially unanswerable. However, with Einstein’s more expansive theory of general relativity, this situation changed dramatically. Using general relativity, scientists could (seemingly) describe the evolution of space, time, and everything within it (quantum effects notwithstanding).
In hindsight, the ‘seemingly’ part is key. When astronomers first gazed beyond the solar system, they noticed systematic deviations from the predictions of Newtonian gravity. Most scientists assumed that the problem was due to missing mass. But today, there is mounting evidence that this hypothesis is false, and that the observed discrepancy is caused by a breakdown of Newtonian physics. However, like the geocentric model of antiquity, the dark-matter paradigm lumbers on as the dominant belief, largely unfazed by the challenging evidence.
A new natural law
Speaking of difficult-to-explain evidence, let’s dive into some empirical details in modern astrophysics.
To begin, note that once we assume that deviations from Newtonian gravity are caused by missing mass, we’re forced to infer that dark matter constitutes about 84% of the gravitating mass in the universe. By extension, it follows that when it comes to gravitational acceleration, dark matter should be the driver, while the visible mass should be the passive passenger. Oddly, however, the inferred need for dark matter turns out to be a tight function of the visible matter itself, coupled with the rate of observed gravitational acceleration.
The chart below shows the astrophysicist Stacy McGaugh’s presentation of the early evidence. Here, the horizontal axis plots the full range of gravitational acceleration observed across the known universe. Note the expansive log scale. From the wispy fringes of spiral galaxies (left) to the crushing surface of a neutron star (right), the range of observed gravitational acceleration spans more than 20 orders of magnitude. Looking at the vertical axis, it plots the inferred need for dark matter — the extra mass required to explain the observed gravitational acceleration using Newtonian mechanics (or general relativity).

Human experience plays out at the center of this chart, where we see the gravitational acceleration on Earth’s surface (a steady 10 m/s2). Here on Earth, Newton’s equations work exquisitely well, which means there is no need to infer dark matter.
As we move to the right side of the chart, we enter the domain of strong gravitational acceleration, described by general relativity. For example, on the surface of a neutron star, particles experience a gravitational acceleration that is a trillion times stronger than on the surface of the Earth. But despite this crushing difference, the available evidence suggests that our theory of gravity works just fine. So again, there is no need for dark matter.
It is only when we move to the far left side of this chart that we infer the need for dark matter. As we pass outside our solar system, acceleration slows to a crawl. And when acceleration drops below roughly 10-10 m/s2 (100 billion times less acceleration than on the surface of the Earth), we find that Newton’s equations stop working. To make them work (as acceleration continues to drop), we must infer a steadily growing mass of unobserved gravitating stuff.
Now, this mass-discrepancy presentation of the evidence is visually appealing, but is somewhat presumptive. It assumes that the discrepancy between theory and evidence is caused by missing mass. But this assumption is just that … an assumption. In more neutral terms, what we observe is an acceleration discrepancy — a discrepancy between the gravitational acceleration that we predict (using Newtonian physics and the observed mass), and the gravitational acceleration that we observe.
In the last few years, scientists have pinned down this acceleration discrepancy with remarkable accuracy. The chart below (from this paper, and discussed by Tracy McGaugh in a blog post here) shows the latest measurements. Here, the horizontal axis shows the gravitational acceleration predicted by Newtonian physics based on the visible mass. (Note the log scale.) The vertical axis shows the observed gravitational acceleration (also plotted on a log scale).
Each data point averages evidence compiled within many different galaxies. (Grey points show estimates derived from galaxy kinematics. Gold points show estimates derived from the lensing of light.) Now, if the observed acceleration followed Newtonian predictions, all of the data would sit on the diagonal grey line. But that’s not how the universe behaves. Instead, as gravitational acceleration drops below 10-10 m/s2, the observed acceleration takes a different path.

Now what is surprising here is that the deviation from Newtonian predictions is strikingly non-random. Indeed, the deviation is so orderly and so precise (both within and across galaxies) that Stacy McGaugh concludes that it is a ’law of nature’. By this, he means that the observed scatter in this relation is so minimal that it is consistent with having zero intrinsic scatter. In other words, what we are looking at here is a galactic equivalent to Kepler’s laws of planetary motion. Regardless of the cause, it is a natural law.
Milgromian dynamics
Had the evidence above been available during Newton’s lifetime, one wonders how scientific history might have been different. After all, it would be odd (insane?) to first propose a theory of ‘universal’ gravitation, but to then acknowledge that the theory horribly describes the available evidence. So in this sense, the whole foray into ‘dark matter’ may be a historical accident, created by the myopia of our limited (solar-system) observations.
What is fascinating is that Newton’s equations need only a minor tweak to accurately predict the observed gravitational behavior at extremely low accelerations. This serendipitous discovery was made by the physicist Mordehai Milgrom in 1983. Looking at the emerging discrepancy between how galaxies ought to rotate and how they actually rotate, Milgrom argued that the issue could be explained by a breakdown in Newtonian physics. Below a certain critical acceleration, Milgrom proposed that Newton’s theory of gravity needed to be modified: the force of gravity would become non-linear, depending not just on mass and separation, but would also depend (inversely) on the acceleration of the object itself. (As acceleration becomes minuscule, Milgrom’s theory boosts the force of gravity.)6
In hindsight, Milgrom’s theory is both a triumph and a tragedy. It is a triumph in the sense that it is a remarkable empirical success; it has made a series of predictions which have since been confirmed. (The acceleration discrepancy, shown above, is exactly what Milgromian dynamics predict. But this is just one of many successful predictions.)
That said, Milgromian dynamics are a tragedy in the sense that they are a frustrating theoretical step backward. You see, a key appeal of Einstein’s theory of general relativity is that it stems from ‘first principles’. If one assumes that a gravitational field is indistinguishable from constant acceleration (the equivalence principle), Einstein’s theory of gravity follows naturally. This is in marked contrast to Newton’s theory of gravity, which was simply plucked from thin air to explain the solar-system evidence. Like Newton, but unlike Einstein, Milgrom’s theory was plucked from thin air to explain aspects of how galaxies rotate. (Novel predictions then followed.) In other words, Milgromian dynamics ‘work’, but no one knows why. Of course, this ignorance is only a problem if we insist on being hubristic. If we are humble, the revelation of our ignorance is exhilarating.
Perhaps the most exciting possibility is that Milgromian dynamics are caused by quantum vacuum effects. You see, in quantum physics, it is theorized that the vacuum of space is teaming with unseen ‘virtual’ particles which are constantly popping in and out of existence. It has long been thought that this vacuum energy ought to have a gravitational effect. But attempts to incorporate it into general relativity have proved disastrous. So perhaps Milgromian dynamics — which are revealed only when acceleration is minuscule — tell us something about ‘quantum gravity’. Nothing could be more exciting.
‘Unanticipated’ evidence from the early universe
Regardless of where our theory ends up, there is little doubt that we are now witnessing a revolution in our empirical understanding of the cosmos. Let me set the stage.
When scientists settled on the ’need’ for dark matter, they got busy simulating how a dark-matter-filled universe would behave. The key result of these simulations is that structure must form ‘hierarchically’.
The idea is that the universe began as a nearly homogeneous mix of matter, marked by subtle variations in density. Over time, these density variations grew to form small-scale structure — small ‘halos’ of dark matter, with clumps of normal matter embedded inside. Larger structures were then built via waves of mergers. Small lumps combined to form bigger lumps, which combined to form still bigger lumps, and so on. As one might expect, the key feature of this hierarchical structure formation is that it is slow; it takes many billions of years to form the large galaxies we see around us.7
Looking (only) at the large-scale structure of today’s universe, these dark-matter models do a plausible (if imperfect) job of explaining what we see. But in the early universe, dark-matter models are turning out to be abject failures. We can thank the James Webb Space Telescope for showing that. Launched in 2021, the James Webb telescope was designed specifically to peer into the distant (ancient) universe. On this front, the project has succeeded admirably, and is now showering us in ‘unforeseen’ evidence. To the surprise of many scientists, the telescope has revealed that big galaxies formed far earlier than predicted by dark-matter models.
Not everyone was surprised. In early 2022, just before the James Webb observations began to roll in, Stacy McGaugh predicted that the telescope would immediately discover something ‘unexpected’: big galaxies at high redshift.
Crucially, this idea was not a hunch. It was a basic prediction that followed from Milgromian dynamics. You see, in Milgrom’s theory, gravity gets a ‘boost’ at low accelerations. Back in 1998, the physicist Robert Sanders showed that this ‘boost’ would cause structure to form more rapidly than in dark-matter models. Also, the ‘mode’ of galaxy formation would be completely different. Instead of growing via waves of galactic mergers, Milgromian dynamics predicted that the first galaxies would form in a more dramatic fashion — vast clumps of nascent gas would collapse catastrophically all at once, birthing enormous galaxies in the blink of an eye.
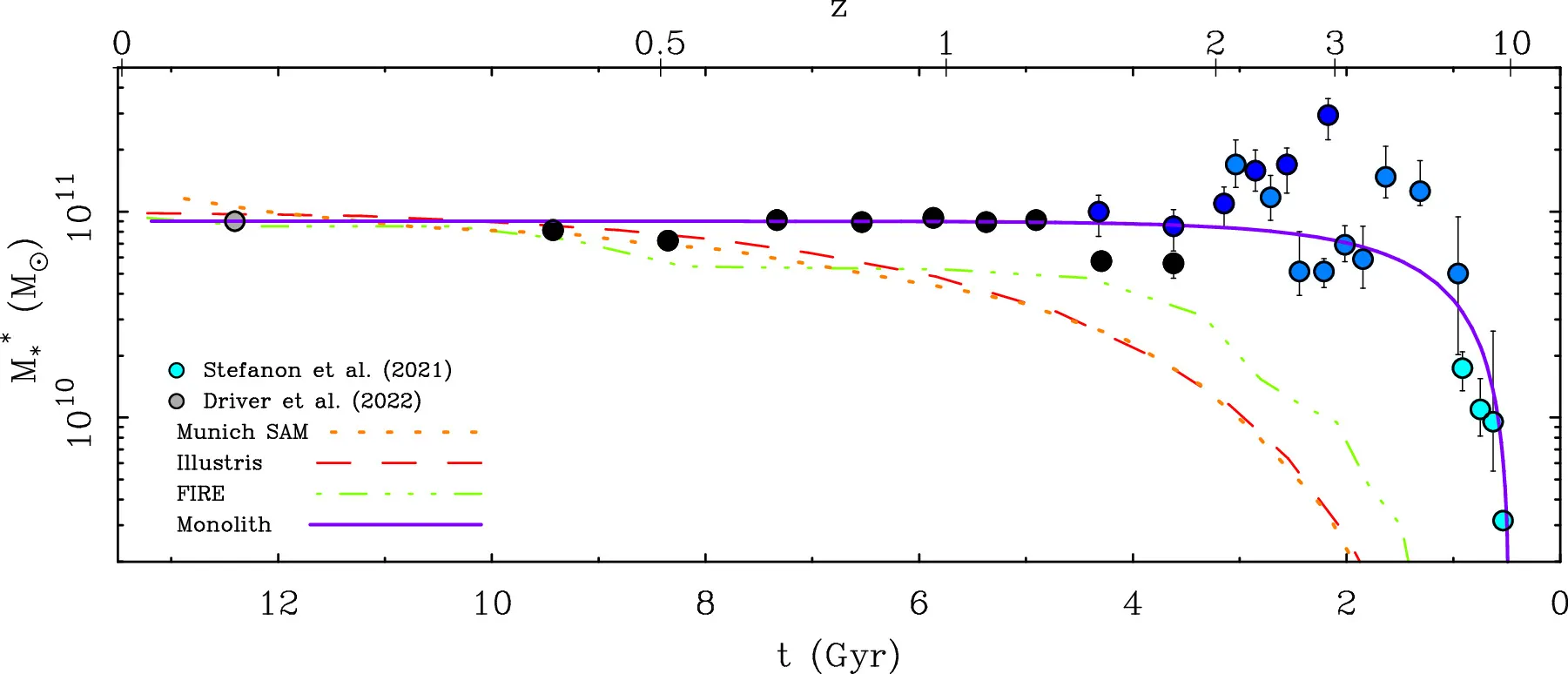
Gazing at the picture emerging from the James Webb Telescope, it appears that the ancient universe did not get the dark-matter memo. Early galaxies, it seems, form as Milgromian dynamics predict. The chart below (from Stacy McGaugh in early 2025) shows the evidence so far.

On the top horizontal axis of this chart, we see how astronomers infer the passage of time (into the past). That is, when astronomers look into the distant universe, they see objects that are increasingly redshifted. From this redshift data, astronomers then infer the age of the object. On the bottom horizontal axis, this age is shown on a reverse scale. So if we want to ‘watch’ time pass, we move from right to left.
Looking at the vertical axis, it shows the estimated mass of galaxies (measured in units of solar mass). Each point represents the empirical observation of an individual galaxies. The curves show the behavior of different models. What’s important is that the evidence is consistent with the ‘monolith’ model, in which early galaxies form all at once via a catastrophic collapse of a vast region of gas, driven by Milgromian dynamics. The dashed lines show the predictions from two dark-matter models, which are miles away from the empirical data.
Cosmology upended?
With these ‘impossibly’ big, ‘impossibly’ early galaxies in mind, let us look at the central tenets of modern cosmology, which were set in place by two monumental observations. In 1929, Edwin Hubble discovered that the universe was expanding. And in 1964, physicist Arno Allan Penzias and radio-astronomer Robert Woodrow Wilson discovered what is today called the ‘cosmic microwave background’ — a form of microwave radiation that emanates from all directions of the observable universe. Putting the two patterns together, physicists soon surmised that the microwave background might be ‘relic’ radiation, the remnant of a hot ‘big bang’.
The idea is that the universe was born as a hot plasma which then cooled as the cosmos expanded. We can (in this theory) think of the early universe as a hot dense place similar to the interior of the sun — a place where photons of light could not travel far before they were absorbed by ionized matter. As the universe expanded and cooled, it eventually reached a critical temperature where the plasma condensed into atoms, suddenly allowing the sea of radiation to travel unimpeded (much as light does once it reaches the photosphere of the sun). From that point onward, this relic radiation sailed the cosmos, cooling as the universe expanded. What remains today is a frigid version of this ancient inferno, cooled to a chilly 2.7 Kelvin.
Or at least, that is the standard story of the cosmic microwave background. However, recent analysis by Eda Gjergo and Pavel Kroupa may upend this tidy theory.
The backstory is that there are two features of the cosmic microwave background which most interest scientists. The first feature is its striking uniformity; the microwave background appears nearly identical in every direction, and can be modelled as pure black-body radiation. The second interesting feature of the microwave background is that it ever-so-slightly departs from uniformity. Looking across the sky, scientists have found tiny fluctuations in the microwave background which vary from place to place by about 1 part in 100,000. The image below shows the most accurate measurement of these fluctuations, as captured by the Planck observatory.

The reason that these tiny fluctuations are interesting is that they are thought to represent regions of slight under-density and over-density in the early universe. These fluctuations, it is assumed, represents the seeds of structure in the primordial universe — the seeds from which everything else would grow.
On this front, fluctuation in the microwave background are taken to be the ‘initial conditions’ on which cosmologists tune their models of the universe. Here, the dark-matter paradigm works well, in the sense that it can be tuned to fit these initial conditions. (Note that ’tuning’ is not the same as ‘predicting’; dark-matter models can be made to fit the fluctuations in the microwave background … but they do not predict these fluctuations.)
Back to the recent work of Gjergo and Kroupa. At issue is whether the observed fluctuations in the microwave background mean what cosmologists think they mean. The problem, Gjergo and Kroupa note, is that the cosmic microwave background could have been created (in whole or in part) by the formation of the first galaxies.
Now, in the dark-matter paradigm, this idea is a non-starter, because galaxies form too slowly to get in the way of radiation from the big bang. However, the evidence coming from the James Webb Telescope suggests that dark-matter models have it wrong; big galaxies formed remarkably early, most likely through the catastrophic collapse of proto-galactic clouds of gas.
The galaxies that would have emerged from this process are not the pristine spiral galaxies like our own Milky Way; rather, they would have been virtually featureless blobs of glowing dust and frenetically forming stars. Today, these ’elliptical’ galaxies look like the picture below, which is an image of the supergiant elliptical galaxy M87 — a neighboring behemoth that contains several trillion stars.
(The band of blue emanating from the galaxy’s center is a jet of gas blown outward at close to the speed of light by the supermassive black hole at the galaxy’s center. As it happens, this the same black hole that was photographed by the Event Horizon Telescope.)

Looking at the present-day chemical composition of these elliptical galaxies, Eda Gjergo and Pavel Kroupa ponder the nuclear processes required to create what we see. Backing up a bit, it’s well established that the elements that astronomers call ‘metals’ (by which they mean anything heavier than helium) are forged inside stars through nuclear fusion. These elements are then spread throughout the galaxy when large stars explode at the end of their life (a process called a super nova). When new stars form from the remnant material, they contain the previously forged metals, which are then visible as spectral lines in the light they emit.
To create the chemical composition that we see in today’s elliptical galaxies, Gjergo and Kroupa calculate that when these galaxies first formed, they must have rapidly birthed large populations of massive stars, stars which would vastly outshine our sun. Running the numbers, Gjergo and Kroupa conclude that these early blazing galaxies would have shone some 10,000 times more brightly than the remnant ellipticals that we see today. In their words, today’s massive elliptical galaxies are “merely embers in the ashes of ancient cosmic bonfires”.
Now here is the bombshell. Looking at how modern galaxies form stars, Gjergo and Kroupa note that the process is typically shrouded in dust. As this dust is warmed by the forming stars, it emits black-body radiation in the infrared spectrum. Let’s say that again … star-forming galaxies emit black-body radiation. If this radiation was emitted in the early universe, it would then get redshifted towards longer wavelengths as the universe expanded. As it turns out, Gjergo and Kroupa’s calculations indicate that this radiation would occur exactly in the spectrum of the present-day cosmic microwave background.
The chart below shows their jaw-dropping calculation. Looking at the horizontal axis, it plots the observed redshift of light (a proxy for object age). So as we move from left to right on this chart, we move backwards in time. Looking at the dashed red vertical line, it represents the moment (in standard cosmology) when the universe had cooled sufficiently for big-bang radiation to propagate throughout the cosmos. The red ‘x’ then marks the energy density of this radiation (at the time), measured on the vertical axis.
As the universe expanded, this relic radiation would cool, causing its energy density to slowly drop with time, as indicated by the solid red line. Following this line to the present day (the left side of the chart), we get the cosmic microwave background observed today. Or at least, that is the standard theory.

The problem with this interpretation, Gjergo and Kroupa observe, begins with the vertical grey band. This is the period in which they infer that elliptical galaxies first formed. Now, unlike the hot big bang, which cannot be observed directly, elliptical galaxies are real objects that are spread throughout the observable universe today. As Kroupa puts it, astronomers can essentially ’touch’ these galaxies with modern telescopes, which means that much is know about them, including their average separation in space.
From this present-day separation, Gjergo and Kroupa calculate how closely packed these galaxies would have been when they first formed. The answer, it turns out, is very densely packed. Looking at the most detailed measurements of the cosmic microwave background, captured by the Planck mission, Gjergo and Kroupa calculate that each pixel of the Planck measurement would contain about 6 massive elliptical galaxies, imaged during their bonfire stage of formation.
During this bonfire era, elliptical galaxies would have emitted profuse black-body radiation in the infrared spectrum. Then, as the universe expanded, this radiation would have cooled and would now live in the microwave spectrum, exactly where the cosmic microwave background is now observed. In Gjergo and Kroupa’s chart, the dashed black lines show various scenarios for this radiation.
In the most extreme (but still highly plausible) scenario, radiation from forming elliptical galaxies accounts completely for the observed microwave background. But even in the most conservative scenario, this radiation accounts for about 1% of the observed microwave background. Now, 1% contamination might sound trivial, but keep in mind that existing models of the universe are based on fluctuations in the microwave background that occur at a level of 1 part per 100,000.
So even if the observed microwave background has a 1% contamination from forming elliptical galaxies (galaxies which are not distributed with perfect evenness across they sky), this contamination utterly dwarfs the minute fluctuations which standard cosmology interprets as the seeds of cosmic structure. In short, fluctuations in the microwave background (and perhaps the entire microwave background itself) may have nothing to do with the (hypothesized) big bang. Gjergo and Kroupa’s chart below illustrates this confounding effect.

Emerging cosmic consilience
As a social scientist, I am not qualified to assess the validity of Gjergo and Kroupa’s calculations. But as someone who spends virtually all my time assessing empirical evidence (and reading about how other scientists assess evidence) I can tell you that the cosmic picture that is emerging is exciting. It has the ring of what the biologist E.O. Wilson calls ‘consilience’ — the interlocking compatibility of many different lines of evidence.
Consilience is a feature of all scientific revolutions. For example, the Newtonian revolution unified a host of observations about motion that previously seemed unconnected. Likewise, Darwin’s theory of evolution unified diverse strands of biological evidence. Looking at patterns in modern astrophysics and cosmology, my impression is that Milgromian gravitational dynamics will prove to be similarly revolutionary, unifying seemingly divergent strands of evidence which are incomprehensible from within the dark-matter paradigm.
Of course, it may take decades (or more) for the scientific consensus to shift. But then again, consensus is overrated. In science, revolution always starts with the (heretical) weight of accumulating evidence.
Until next time
Well, that was a much deeper dive into cosmology than I intended to write. But I hope you enjoyed the scientific journey. (Life is too short to be restrained to one scientific discipline.) If you want to follow the unfolding scientific revolution in cosmology, I recommend two blogs:
- Triton Station, written by Stacy McGaugh
- The Dark Matter Crisis, written by Pavel Kroupa and collaborators.
As always, thanks for your support!
Best,
Blair
Notes
-
In its timeless wisdom, the Trump regime has recently proposed halving the funding for the National Science Foundation. This may cause one (of two) US gravitational wave observatories to close. Unfortunately, having only one detector is essentially useless, because the second detector is crucial for separating gravitational-wave signals from the background noise. ↩︎
-
It was only in 2013, with the launch of the Gaia spacecraft, that we began to collect accurate bulk measurement of star motion within the Milky Way. ↩︎
-
By the late 1990s, much of the excitement about dark matter was coming from particle physicists, who were busy theorizing about the exotic matter that might lay beyond the standard model of particle physics. However, when the Large Hadron Collider came online in 2010, it began to poor cold water on these ideas. In the end, the LHC verified the standard model (it discovered the predicted Higgs boson), but found no evidence for new physics. This failure highlights a key problem in science, which is that when our imaginations are left unchecked by empirical evidence, they inevitably lead us down the wrong path. ↩︎
-
Other than the correct prediction of Mercury’s orbit, the only early piece of evidence supporting Einstein’s new theory came from observations of the 1919 solar eclipse. Led by Arthur Eddington, this expedition claimed to verify Einstein’s prediction for how light would bend around the sun. But in hindsight, Eddington’s evidence was rather poor. As Stephen Hawking observed in 1988, the Eddington experiment had measurement errors that were “as great as the effect they were trying to measure”. ↩︎
-
In his book Against Method, Paul Feyerabend emphasizes the conceptual hurdles facing the heliocentric model. For example, throughout antiquity, the ‘common sense’ view was that there was a universal direction known as ‘up’. But if the Earth was a sphere orbiting the sun, the notion of ‘up’ became relative, as did all motion. These conceptual issues were tackled by Galileo, but were not fully resolved until the work of Newton. Hence, in Feyerabend’s opinion, skepticism of Galileo’s theories was justified. ↩︎
-
The non-linear nature of Milgrom’s theory leads to fascinating differences from standard thinking. For example, it violates one of the key tenets of general relativity — the strong equivalence principle. According to this principle, the internal dynamics of a gravitating body are unaffected by the presence (or lack thereof) of an external gravitational field. In contrast, Milgromian dynamics violate this principle, leading to an ’external field effect’, in which the gravitational acceleration within a massive body is affected by its surrounding environment. Remarkably, there is astronomical evidence that the strong equivalence principal does breakdown. ↩︎
-
Without dark matter, Newtonian physics simply fails to grow the structure that we observe today (given the estimated age of the universe). Aside from the acceleration discrepancy within galaxies, this structure-formation failure is one of the key motivations for inferring the existence of dark matter. ↩︎